前回の記事では、因果推論の基礎とDAG(有向非巡回グラフ)の読み方について解説しました。因果関係と単なる関連性の違いを理解し、DAGを使って因果関係の構造を可視化する方法を学びました。
今回の記事では、さらに一歩進んで、因果推論のより高度な概念であるバックドア基準とd分離などについて説明します。これらの概念は、DAGから因果関係を正しく読み取るための重要な ツール となります。
これらの概念は、一見すると難解に感じるかもしれません。しかし、ビジネスにおけるデータ分析や意思決定において、因果関係を正しく理解することは非常に重要です。これらを活用することで、データから真の因果関係を見抜き、効果的な施策を立案することができるのです。
また、因果関係がないのに関連が生じるパターンや、そのようなバイアスへの対処法についても解説します。交絡や選択バイアスといったよくあるバイアスを理解し、適切に対処することは、因果推論を実践する上で欠かせません。
因果推論は、データサイエンスの世界で大きな注目を集めている分野です。ビジネスパーソンがこの分野の知識を身につけることで、データに基づく意思決定の質を大きく向上させることができるでしょう。
Contents
- 因果関係がないのに関連が生じるパターン
- 交絡(共通原因によるバイアス)
- 選択バイアス
- その1:選択変数がXとYの共通効果となっている場合
- その2:選択がXのレベルに依存する場合
- その3:選択がYのレベルに依存する場合
- 逆因果:因果関係の方向が逆
- 偶然:因果関係がないのに偶然関連が生じる
- バイアスの特定
- バイアスの特定の流れ
- [1] バックドア基準による調整変数の特定
- [2] d分離を用いたさらに詳細な独立性の分析
- [3] フロントドア基準を用いた中間変数を通じた効果の検討
- ビジネスにおけるバイアス対策の流れ
- 6ステップ
- 事例:因果推論で紐解く新サービスのパワー
- ビジネスにおける因果推論の実践事例
- 事例1:因果推論が導く広告効果の真実
- 事例2:因果分析が導く投資戦略の勝利
- 事例3:因果推論が解き明かす人材育成の真実
- まとめ
因果関係がないのに関連が生じるパターン
データ分析では、変数間に関連が観察されても、それが必ずしも因果関係を意味するとは限りません。
交絡(共通原因によるバイアス)
交絡は、因果関係がないのに関連が生じる最も一般的なパターンです。
交絡は、2つの変数の間に共通の原因が存在することによって生じます。
例えば、アイスクリームの売上と海難事故の発生率の間に正の相関が観察されたとします。しかし、これらの間に直接の因果関係はありません。
実際には、気温が両者の共通原因となっています。気温が高くなるとアイスクリームの売上が上がり、同時に海難事故の発生率も高くなるのです。

交絡バイアスに対処するには、共通原因を調整変数として条件付けする必要があります。
上の例では、気温を条件付けすることで、アイスクリームの売上と海難事故の発生率の間の真の関係(因果関係がない)を明らかにできます。
選択バイアス
その1:選択変数がXとYの共通効果となっている場合
選択バイアスは、共通効果を条件付けすることによって生じます。
共通効果とは、2つ以上の変数の結果となる変数のことを指します。
例えば、美術大学に合格するには、高い学力と優れた実技能力が必要だとします。
この場合、合格者だけを対象に学科試験と実技試験の関連を調べると、負の相関が観察されるかもしれません。これは、学科試験の点数が低い人は実技試験の点数が高くなければ合格できないためです。この負の相関は選択バイアスによるものであり、因果関係を示すものではありません。

選択バイアスに対処するには、共通効果を条件付けしないようにする必要があります。
上の例は、生存者バイアス(生存している個体のみが分析の対象となる)とも言われます。この場合の生存は「合格者」です。
合格者と不合格者の両方を対象に分析を行うことで、選択バイアスを避けることができます。
その2:選択がXのレベルに依存する場合
これは一般に「治療選択バイアス」と考えられます。
研究参加者や対象が、ある特定の特性(例:特定の治療を受けているかどうか)に基づいて選択される場合、サンプルが母集団を代表していない可能性があり、結果の解釈に影響を与える可能性があります。
この状況では、選択されるサンプルの特性が、分析結果にバイアスをもたらすことがあります。
例えば、ある疾患の治療法として薬物療法と手術療法の二つがあるとします。
もし、薬物療法を選択する患者が主に病状が軽い場合、手術療法を選択する患者が病状が重い場合に、これら二つのグループ間で治療後の健康成果を比較すると、治療選択に関連する特性が成果に影響を及ぼしているため、単純な比較は誤解を招く可能性があります。
このバイアスは、治療選択が患者の既存の健康状態や他の特性に依存しているために発生します。これらの特性は、治療の効果を直接的に影響する可能性があるため、治療間の比較を困難にします。

病状の重さが治療法の選択に影響を及ぼし、その選択が最終的に治療後の健康に影響を与えると示されています。
このバイアスを適切に管理するためには、分析において治療法の選択に影響を与える可能性のある変数(この場合は病状の重さ)を調整することが重要です。
その3:選択がYのレベルに依存する場合
これは「結果依存選択バイアス」と呼ばれることがあります。
特定の結果を持つ個体のみが研究や分析の対象となる場合(例えば、特定の病気の症状が顕著な患者のみを対象にする場合)、これもバイアスの原因となりえます。
このシナリオでは、特定の結果に基づいてサンプルが選択されるため、原因と結果の関係を正確に推定することが難しくなります。
例えば、運動の頻度が体重減少にどのように影響するかを調べたいと考えていますが、参加者を募集する際に、特定の体重減少目標(例えば、過去6ヶ月間に5キログラム以上減少した人)を達成した人だけを対象として選びます。

このシナリオでは、体重減少(Y)が研究参加選択(S)に影響を与えます。
つまり、体重減少の結果に基づいて研究参加者が選ばれるため、運動の頻度(X)と体重減少(Y)の関係についての分析は、この特定の条件(体重が5キログラム以上減少した人)を満たす人々に限定されます。
この場合、体重が大幅に減少した人々のみが分析に含まれるため、運動の頻度が体重減少に与える影響の全体像を捉えることができなくなります。研究結果は、体重減少が著しい特定のグループに偏ってしまい、運動の頻度が体重減少に対して一般的にどの程度影響を与えるかを正確に推定することが難しくなります。
逆因果:因果関係の方向が逆
逆因果は、因果関係の方向が実際とは逆に解釈されることによって生じます。
例えば、高い教育レベルと高い所得の間に正の相関が観察されたとします。
しかし、これは教育が所得を上げるからではなく、裕福な家庭の子供が高い教育を受けられるからかもしれません。

逆因果に対処するには、因果関係の方向を慎重に検討する必要があります。時間的な前後関係や理論的な知見を参考にして、正しい因果の方向を特定しなければなりません。
偶然:因果関係がないのに偶然関連が生じる
単なる偶然によって関連が生じることがあります。特に、標本サイズが小さい場合などに偶然の関連が生じやすくなります。
偶然の関連に対処するには、適切な統計的手法を用いて関連の有意性を評価する必要があります。
また、結果の再現性を確認するために、複数のデータセットや研究方法を用いることが望ましいです。
バイアスの特定
交絡バイアスや選択バイアスによって、因果関係がないのに関連が生じることがあります。そこで登場するのがバックドア基準、d分離、フロントドア基準です。
因果推論の正確な実施には、これらの基準を適切に使い分け、必要に応じて複数の手法を組み合わせて適用することが重要です。
バイアスの特定の流れ
少なくとも何かしらのDAGが作成されている状態で、バックドア基準、d分離、フロントドア基準を活用し、バイアスなどの特定を実施する流れを簡単に説明します。
[1] バックドア基準による調整変数の特定
- バックドア基準は、XとYの間に存在する可能性のある交絡を特定し、それらをブロックするための変数を選択するために使用されます。
- これにより、交絡因子の影響を除去し、Xの真の因果効果を推定するための最初のステップとなります。
[2] d分離を用いたさらに詳細な独立性の分析
- d分離は、DAGの変数間の独立性を分析するために用いられます。
- バックドア基準による調整後もなお、未解決の交絡や因果パスが存在する可能性があります。
- d分離を使用することで、これらの複雑な関係性をさらに詳細に分析し、必要な調整変数を追加的に特定することができます。
[3] フロントドア基準を用いた中間変数を通じた効果の検討
- 直接的な因果パスが観測できない、または交絡因子が完全には特定および調整できない場合、フロントドア基準が有効です。
- この基準は、介入と結果の間に位置する中間変数を通じて間接的な因果効果を推定するために使用されます。
- フロントドア基準は、特に交絡因子が測定不可能または未知である複雑な因果構造を持つ場合に有用です。
実際、DAGの作成やバックドア基準、d分離、フロントドア基準などを使った検討は、行ったり来たりします。
[1] バックドア基準による調整変数の特定
因果推論において、変数間の真の因果効果を推定することは非常に重要です。しかし、実際のデータ分析では、交絡バイアスの存在によって、因果効果の推定が困難になることがあります。
バックドア基準は、このような交絡バイアスに対処するための パワフルなツールです。Judea Pearl によって提唱されたこの基準は、DAGにおいて特定の変数間の因果効果を識別するための十分条件を定めています。
バックドア基準は、以下の2つの条件を満たす一連の変数のセット(調整変数セットZ)が存在する場合、XとYの因果効果は識別可能であるとしています。
- Zに含まれるどの変数も、XからYへの直接のパス上にない。
- ZがXとYの間の全てのバックドアパスをブロックする。
ここで、バックドアパスとは、DAGにおいて、ある変数から別の変数へ向かう経路のうち、矢印が逆向きになっている部分を含むパスのことを指します。
例えば、以下のようなDAGを考えてみましょう。

このDAGでは、XからYへ ダイレクトな 矢印が伸びているので、XはYの直接的な原因だと言えます。しかし、ZがXとYの両方に矢印を伸ばしているため、XとYの間にはZを経由するバックドアパス(X←Z→Y)が存在します。
このバックドアパスが開いている状態では、XとYの真の因果効果を推定することが難しくなります。
この例では、Zが調整変数セットとなります。
Zを条件付けすることで、XとYの間のバックドアパスが閉じられ、真の因果効果を推定できるようになるのです。
ビジネスにおける意思決定においても、バックドア基準は大きな役割を果たします。
例えば、ある広告キャンペーンの効果を評価する際、広告とセールスの間には様々な交絡因子(市場の状況など)が存在する可能性があります。
バックドア基準を使って適切な調整変数セットを特定することで、広告の真の効果を推定することができるのです。
[2] d分離を用いたさらに詳細な独立性の分析
バックドア基準による調整後もなお、未解決の交絡や因果パスが存在する可能性があります。
d分離(d-separation)を使用することで、これらの複雑な関係性をさらに詳細に分析し、必要な調整変数を追加的に特定することができます。
d分離は、DAGにおける変数間の条件付き独立性を判定するためのルールです。特定の因果関係における交絡因子を特定したり、因果推論において考慮すべき変数を決定する際に活用されます。
二つの変数XとYが、変数の集合Zを所与とした上で条件付き独立であるとき、「XとYはZによってd分離される」と言います。
変数の集合Zが与えられたとき、XからYへのすべてのパスについて、以下の3つの条件のいずれかが満たされる場合、XとYはZによってd分離されるという。
- 直接的な因果関係:パスが連鎖(chain)構造(X→M→Y)がある場合、Mが集合Zに含まれるとき、XとYは独立します。
- 共通原因:パスが分岐(fork)構造(X←M→Y)がある場合、Mが集合Zに含まれるとき、XとYは独立します。
- 共通効果:パスが合流(collider)構造(X→M←Y)がある場合、MもMの子孫も集合Zに含まれない限り、XとYは独立します。
これらの条件を満たすとき、XとYは条件付き独立であると判定できます。変数の集合Zをもとに調整(条件付け)します。
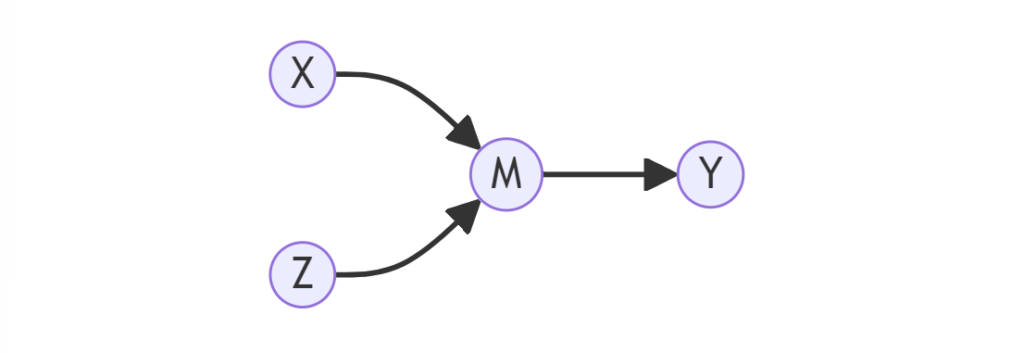
例えば、以下のようなDAGを考えてみましょう。

このDAGでは、XとYの間には1つのパスX→M→Y(連鎖構造)があります。
- Zが空集合の場合、合流構造を含むパスが開いているため、XとYはd分離されません。
- Z={M}の場合の場合、連鎖構造のパスはMによってブロックされ、XとYはZによってd分離されます。
d分離の概念は、DAGから変数間の条件付き独立性を読み取るために非常に重要です。d分離を使うことで、因果関係の有無を判定したり、交絡バイアスを特定したりすることができます。
ビジネスにおけるデータ分析でも、d分離の概念は大いに活用できます。
例えば、マーケティングキャンペーンの効果を評価する際、d分離を使って交絡因子を特定し、適切な調整を行うことで、キャンペーンの真の効果を推定することができます。

- C:マーケティングキャンペーン
- S:売上
- Se:季節性
季節性は、クリスマスシーズンなど特定の時期に売上が自然と増加することを示します。この場合、季節性はマーケティングキャンペーンと売上の両方に影響を及ぼす可能性がある交絡因子となります。
ここで、季節性(Se)は共通の原因であり、マーケティングキャンペーン(C)と売上(S)はその効果です。この状況では、季節性が与えられたとき(つまり、季節性の影響を考慮するとき)、マーケティングキャンペーンと売上の間の独立性を評価することができます。
これは、季節性が既知の場合、マーケティングキャンペーンの効果を季節の影響から分離して考えることができることを意味します。
[3] フロントドア基準を用いた中間変数を通じた効果の検討
バックドア基準で始まり、d分離でさらなる洞察を得て、必要に応じてフロントドア基準に進むことで、より信頼性の高い因果推論が可能になります。
直接的な因果パスが観測できない、または交絡因子が完全には特定および調整できない場合、フロントドア基準が有効です。
フロントドア基準は、Judea Pearl によって提唱された因果推論のための基準です。XからYへの直接の因果パスが観測されていない場合に、中間変数を介した因果効果を識別するための条件を定めています。
フロントドア基準は、以下の3つの条件を満たす中間変数の集合Mが存在する場合、XとYへの因果効果は識別可能であるとしています。
- XからMへのパスが存在し、そのパス上にYは存在しない。
- MからYへのパスが存在し、そのパス上にXは存在しない。
- XとMの間に、Mに向かう矢印以外のパスが存在しない(XとMの間に交絡がない)。
これらの条件を満たす中間変数Mが存在する場合、XからYへの因果効果は、XからMへの効果とMからYへの効果の積として計算できます。
フロントドア基準は、DAGを用いて因果関係を判定するための重要な基準です。
DAGにおいて、フロントドア基準を満たす中間変数を特定することで、XからYへの因果効果を推定できます。
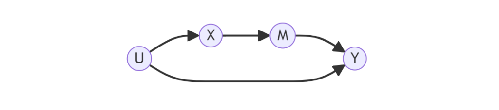
例えば、以下のようなDAGを考えてみましょう。

このDAGでは、XからYへの直接の因果パスは観測されていません。しかし、中間変数Mがフロントドア基準を満たしています。
- XからMへのパスが存在し、そのパス上にYは存在しない。
- MからYへのパスが存在し、そのパス上にXは存在しない。
- XとMの間に、Mに向かう矢印以外のパスが存在しない(UはXとMの両方に影響を与えているが、XからMへの矢印以外のパスではない)。
したがって、このDAGにおいては、中間変数Mを介してXからYへの因果効果を推定することができます。
例えば、広告が商品の認知度を高め、認知度が売上に影響を与えると考えられる場合を考えてみましょう。
広告から売上への直接の因果パスが観測されていなくても、フロントドア基準を用いて認知度を中間変数として特定し、広告の売上への因果効果を推定できます。

このDAGでは、広告から売上への直接の因果パスは観測されていませんが、認知度がフロントドア基準を満たしています。したがって、認知度を中間変数として用いることで、広告の売上への因果効果を推定できます。
ビジネスにおけるバイアス対策の流れ
6ステップ
ビジネスデータ分析において、交絡や選択バイアスへの対処は重要です。
例えば、以下のようなステップで、バイアス対策を進めることができます。
ステップ 1 : ビジネス課題の明確化
分析の目的と対象となる変数を明確にします。
ステップ 2 : DAGの作成
ビジネス課題に関連する変数間の因果関係を、DAGを用いて視覚化します。
ステップ 3 : バイアスの特定
DAGを用いて、交絡因子や選択バイアスの原因となる変数を特定します。
ステップ 4 : データ収集
特定されたバイアス要因を測定するためのデータを収集します。
ステップ 5 : 分析手法の選択と調整実施
バイアスの種類に応じて、適切な手法を選択し調整します。
ステップ 6 : 結果の解釈
バイアス調整後の結果を慎重に解釈し、ビジネス意思決定に活用します。
バイアス対策は、因果推論に基づく意思決定を行う上で不可欠です。適切なバイアス対策を行うことで、データから正しい因果関係を導き出し、効果的なビジネス施策を立案することができるのです。
事例:因果推論で紐解く新サービスのパワー

D社(仮称)は、新しいオンライン英会話サービス「グローバルチャット」(仮称)を開発しました。
このサービスは、自社開発のAIを活用した学習プログラムが特徴で、効率的な英語学習を提供することを目的としています。
サービスリリースから3ヶ月が経過し、「グローバルチャット」の効果検証を行い、サービス改善につなげたいと考えています。
1. ビジネス課題の明確化
- 分析の目的:「グローバルチャット」が利用者の英語力向上に与える効果を検証する。
- 対象となる変数:「グローバルチャット」の利用時間、利用者の英語力(TOEICスコア)など。
2. DAGの作成
以下のようなDAGを作成しました。

3. バイアスの特定
- 交絡因子:「学習意欲」が「グローバルチャットの利用時間」と「英語力の向上」の両方に影響を与える交絡因子として特定されました。
4. データ収集
- 「グローバルチャット」の利用ログデータを収集しました。
- 利用者に対してアンケート調査を実施し、「学習意欲」と「過去の英語学習経験」のデータを収集しました。
- 利用開始時と3ヶ月後にTOEICテストを実施し、英語力の変化を測定しました。
5. 適切な分析手法の選択
- 交絡因子である「学習意欲」の影響を調整するために、回帰分析を選択しました。
6. 結果の解釈
- 回帰分析の結果、「グローバルチャット」の利用時間が長いほど、英語力の向上が大きいことが明らかになりました。この結果は、「学習意欲」の影響を調整した後も同様でした。
以上の分析結果から、「グローバルチャット」は利用者の英語力向上に寄与していることが示されました。
この結果を踏まえて、D社は「グローバルチャット」のプロモーション戦略を強化し、より多くの利用者に効果的な英語学習の機会を提供していくことを決定しました。
ビジネスにおける因果推論の実践事例
DAGの作成し活用した事例を幾つか物語風に紹介します。
事例1:因果推論が導く広告効果の真実

化粧品メーカーC社は、新商品「ミラクルエッセンス」(仮称)の発売を控え、大規模な広告キャンペーンを計画していました。市場調査部長の佐藤(仮称)は、広告の効果を正確に評価し、マーケティング戦略を最適化したいと考えていました。
「ミラクルエッセンス」の発売と同時に、テレビCMやウェブ広告などの大規模なキャンペーンを開始したC社。しかし、発売から1ヶ月が経過しても、売上は予想を大きく下回っていました。佐藤は困惑しました。
「広告の効果がないのだろうか?」
そんな時、データ分析チームのリーダー、小野寺が因果推論の手法を提案してきました。
「広告と売上の関係を因果ダイアグラムで表現し、交絡因子を特定することで、広告の真の効果を評価できるかもしれません」
早速、小野寺は因果ダイアグラムを作成しました。

このダイアグラムから、価格が広告と売上の両方に影響を与える交絡因子であることが明らかになりました。
佐藤と小野寺は、価格の影響を調整するために、回帰分析を用いることにしました。その結果、驚くべき事実が明らかになったのです。広告の効果は、当初の予想よりもはるかに大きかったのです!
しかし、喜びもつかの間、新たな問題が発生しました。競合他社が「ミラクルエッセンス」に酷似した商品を、より安い価格で発売したのです。C社の売上は再び伸び悩み始めました。
佐藤と小野寺は再び因果ダイアグラムを見直しました。今度は、競合商品の存在が新たな交絡因子として浮上しました。

二人は、競合商品の影響を調整するために、操作変数法を用いることにしました。C社の広告が競合商品の価格に影響を与えないことに着目し、広告を操作変数として用いたのです。
この分析の結果、広告の効果は競合商品の影響を受けていないことが明らかになりました。佐藤は、価格戦略の見直しを決断します。「ミラクルエッセンス」の価格を競合商品に対抗できるレベルまで引き下げ、広告を継続することにしたのです。
それから3ヶ月後、「ミラクルエッセンス」の売上は目覚ましい回復を見せていました。因果推論を駆使した佐藤と小野寺の分析が、正しい意思決定を導いたのです。
こうしてC社は、因果推論という強力な武器を手に入れ、マーケティング戦略の新たな地平を切り開いていったのでした。
事例2:因果分析が導く投資戦略の勝利

総合商社A社は、新規事業への投資を検討していました。社長の 伊藤(仮称) は、データに基づいた意思決定を重視し、因果分析によって投資戦略を最適化したいと考えていました。
新規事業開発部の部長、 長谷川(仮称) は、有望な事業案を提示しました。
「この事業に多額の投資をすれば、高い成功率が期待できます」
しかし、 伊藤 は慎重でした。
「投資額と成功率の関係を因果分析で確認してからでないと判断できない」
長谷川 は、データ分析チームと協力し、因果ダイアグラムを作成しました。

このダイアグラムから、市場成長性が投資額と成功率の両方に影響を与える交絡因子であることが明らかになりました。
長谷川 は、市場成長性の影響を調整するために、回帰分析を用いることにしました。その結果、驚くべき事実が明らかになったのです。投資額の増加は、当初の予想よりも成功率に大きな影響を与えていなかったのです。
伊藤 は、この結果に基づいて投資額を抑えることを決断しました。
「市場成長性が高い事業に絞って、小規模な投資から始めるべきだ」
ところが、その後、A社の主要な競合他社が大規模な投資を行い、市場シェアを急速に拡大し始めました。A社の業績は伸び悩み、 伊藤 は投資戦略の見直しを迫られました。
再び、 長谷川 はデータ分析チームと因果ダイアグラムを見直しました。今度は、競合他社の投資が新たな交絡因子として浮上しました。

長谷川 は、競合他社の投資の影響を調整するために、操作変数法を用いることにしました。A社の投資額が競合他社の投資に影響を与えないことに着目し、A社の投資額を操作変数として用いたのです。
この分析の結果、市場成長性が高く、競合他社の投資が活発な事業ほど、投資額を増やすことで成功率が大きく改善することが明らかになりました。 伊藤 は、この分析結果を受けて、大胆な投資戦略の転換を決断します。
それから1年後、A社の新規事業は著しい成長を遂げていました。因果分析を駆使した 伊藤 と 長谷川 の意思決定が、正しい投資戦略を導いたのです。
こうしてA社は、因果分析という強力な武器を手に入れ、投資戦略の新たな地平を切り開いていったのでした。
事例3:因果推論が解き明かす人材育成の真実

IT企業B社は、急速な技術革新に対応するため、社員の能力開発に力を入れていました。人事部長の 鈴木 は、研修プログラムの効果を正しく評価し、人材育成戦略を最適化したいと考えていました。
B社では、新入社員全員を対象とした大規模な研修プログラムを実施していました。しかし、研修後の社員の業績を分析しても、明確な効果が見えてきません。鈴木 は困惑しました。
「研修の内容が適切でないのだろうか?」
そんな時、人事データ分析チームのリーダー、 佐久間 が因果推論の手法を提案してきました。
「研修と業績の関係を因果ダイアグラムで表現し、交絡因子を特定することで、研修の真の効果を評価できるかもしれません」
早速、佐久間 はDAGを作成しました。

このダイアグラムから、学歴(学士、修士、博士、など)が研修受講と業績の両方に影響を与える交絡因子であることが明らかになりました。
鈴木 と 佐久間 は、学歴の影響を調整するために、回帰分析を用いることにしました。その結果、驚くべき事実が明らかになったのです。研修の効果は、学歴によって大きく異なることが判明したのです。高学歴の社員には効果が見られたものの、そうでない社員にはほとんど効果がなかったのです。
この結果を受けて、鈴木 は研修プログラムの見直しを決断します。社員の学歴に応じて、研修内容を柔軟に変更する新しい体制を導入したのです。
ところが、新しい研修体制を導入しても、業績の改善は見られませんでした。再び、佐久間 は因果ダイアグラムを見直しました。今度は、社員のモチベーションが新たな交絡因子として浮上しました。

二人は、モチベーションの影響を調整するために、操作変数法を用いることにしました。B社の研修方針が社員のモチベーションに影響を与えないことに着目し、研修方針を操作変数として用いたのです。
この分析の結果、モチベーションの高い社員ほど、研修の効果が高いことが明らかになりました。鈴木 は、この結果を受けて、研修プログラムとモチベーション管理を連動させる新たな人材育成戦略を立案します。
それから半年後、B社の社員の業績は着実に向上していました。因果推論を駆使した 鈴木 と 佐久間 の分析が、正しい人材育成戦略を導いたのです。
こうしてB社は、因果推論という強力な武器を手に入れ、人材育成の新たな地平を切り開いていったのでした。
まとめ
今回は、因果推論におけるバックドア基準、d分離、フロントドア基準の概念と活用方法について説明しました。これらの手法は、ビジネスデータ分析における因果関係の特定とバイアス対策に役立ちます。
バックドア基準は、交絡バイアスに対処するための強力なツールです。DAGにおいて、処置変数と結果変数の間のバックドアパスを遮断する変数の集合を特定することで、交絡バイアスを取り除き、因果効果を推定することができます。
d分離は、DAGにおける変数間の条件付き独立性を判定するためのルールです。d分離を用いることで、因果関係の有無を判断したり、交絡バイアスを特定したりすることが可能です。
フロントドア基準は、処置変数から結果変数への直接の因果パスが観測されていない場合に、中間変数を介した因果効果を識別するための条件を提供します。フロントドア基準を満たす中間変数を特定することで、交絡バイアスが存在する状況でも因果効果を推定できる可能性があります。
ビジネスデータ分析においては、これらの手法を適切に活用することが重要です。バイアス調整後の結果を慎重に解釈し、ビジネス意思決定に活用します。
因果推論は、ビジネスにおけるデータ駆動型の意思決定を支える重要な手法です。バックドア基準、d分離、フロントドア基準を理解し、適切に活用することで、因果関係の特定とバイアス対策を行い、より正確で信頼性の高い分析結果を得ることができます。
ビジネスパーソンにとって、因果推論のスキルを身につけることは、競争優位を確立し、組織の意思決定能力を向上させるために不可欠です。
データサイエンスの世界では、因果推論の重要性がますます高まっています。因果推論の理論と実践を学び、ビジネスに活かしていくことが、これからのデータ活用時代を生き抜くための鍵となるでしょう。
次回は、交絡バイアスや選択バイアスンの調整法についてお話しします。

